当前所在位置:珠峰网资料 >> 计算机 >> 计算机等级考试 >> 正文
计算机二级考试VB常用算法(1):累加和连乘
发布时间:2007/12/13 10:35:12 来源:xue.net 编辑:城市总裁吧

      1、算法说明
      累加形式:V=V+e
      连乘形式:V=V*e
      其中:V是变量,e是递增表达式。累加和连乘一般通过循环结构来实现。
      注意:需在执行循环体前对变量V赋初值。一般的,累加时置初值0;连乘时置初值为1.
      举例
      求N!的结果。
      Private Sub Command1_Click()
      Dim n%, i%, s&
      n = Val(InputBox("输入n"))
      s = 1
      For i = 1 To n
      s = s * i
      Next i
      Print s
      End Sub
      错误的写法:
      Private Sub Command1_Click()
      Dim n%, i%, s&
      n = Val(InputBox("输入n"))
      For i = 1 To n
      s = 1             ‘赋初值语句位置不对!
      s = s * i
      Next i
      Print s                ‘输出s的值为n,而不是n!
      End Sub
      应用举例
      根据下列公式,求自然对数e的的近似值。
  
      要求:误差小于0.00001
      Private Sub Command1_Click()
      Dim i%, n&, t!, e!
      e = 2
      i = 1
      t = 1
      Do While t > 0.00001
      i = i + 1
      t = t / i
      e = e + t
      Loop
      Print "计算了"; i; "项目和是:"; e
      Print Exp(1)                              ‘与上句输出值进行对比以证明算法的正确性
      End Sub
      解题技巧
      1) 由于这类题目往往是根据精度要求来求值,因此我们不能预知具体循环次数,所以这类题目一般用Do循环,很少用For循环。设定循环变量和通项变量,注意各变量的初值;
      2) 分解通项表达式中各因子,并分别将各因子用循环变量表示;
      3)  如果步骤2中有的因子比较复杂,难以直接用变量表示,此时可以考虑使用Function过程;
      4)  根据步骤1、2、3,写出通项表达式;
      5)  根据精度要求(往往是通项小于10负多少次方这样一个关系表达式),写出一条满足精度要求后跳出循环的语句。通常是用:if  通项表达式>10^(-N) then exit do ,注意这句话一般需放在累加或者连乘式之前。

      实例说明
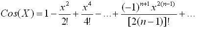
      以2002年春上机试卷06编程题为例
      根据X值计算:
  
      n=1,2,……
      要求:n项绝对值小于等于10-6为止。
      1、由于循环次数不确定,因此确定用Do循环结构并定义循环变量用n表示(初值1);用户输入的值用x表示;通项用dblCos表示;累加值用sum表示,初值为0;
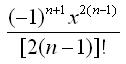
      2、分解通项式的组成
  
      可以分解为三部分:
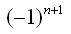
      可以表示为:(-1)^(n+1)
      可以表示为:x^(2*(n-1))
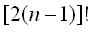
      比较复杂,难以直接表示
      3、由于步骤2中复杂, 此时考虑使用过程。
      于是定义过程,输入值是n,返回值是
      于是有:
      private Function comp(n as long)as long
      dim I as long
      dim result as long
      result=1    ‘此处注意,由于是连乘,初值为1
      for I=1 to 2*(n-1)
      result=result*I
      next I
      comp=result
      End Function
      注意:由于是参数按地址传递,因此对于本题,实参的值不能在过程中被改变!(也是改错题常考的地方!!)
      4、根据步骤1、2、3,写出通项dblCos的表达式:
      dblCos=(-1)^(n+1)* x^(2*(n-1))/comp(n)
      5、根据精度要求知:
      If abs(dblCos)<=10^(-6) then exit do
      最后程序为:
      Private Sub Command1_Click()
      Dim n As Long, dblCos As Double, x As Double
      x = Val(Text1.Text)
      n = 1
      Do
      dblCos = (-1) ^ (n + 1) * x ^ (2 * (n - 1)) / comp(n)
      If Abs(dblCos) <= 10 ^ (-6) Then Exit Do
      Sum = Sum + dblCos
      n = n + 1
      Loop
      Print Sum
      End Sub
      Private Function comp(n As Long) As Long
      Dim I As Long
      Dim result As Long
      result = 1  '此处注意,由于是连乘,初值为1
      For I = 1 To 2 * (n - 1)
      result = result * I
      Next I
      comp = result
      End Function
      注意:如果调试运行时死循环,可以按Ctrl+Break中断死循环,不需要重新启动机器。(或者Ctrl+Scroll Lock)
      2、实战练习
      1) 补充代码(2003秋二(7))
      本程序的功能是求下面数列前n项之和。
      S(x,n)=x/2+2!*x^3/2*4+3!*x^5/2*4*6+……+n!*x^2n-1/2*4*6……2n
      Option Explicit
      Private Sub Command1_Click()
      Dim x As Single,s As Single
      Dim n As Integer,i As Integer
      x=InputBox("输入X:","求数列和",1)
      n=InputBox("输入N:","求数列和",1)
      For i=1 To n
      s=s+fun(x,i)
      Next i
      Label1.Caption= _(1)_
      Text1=s
      End Sub
      Private Function fun(x As Single,n As Integer)As Single
      __(2)__
      p=1
      For i=1 To n
      __(3)___
      Next i
      fun=x^(2*n-1)*p
      End Function
      2) 编程题(2003春上机试卷03)
      按下列公式编写求积分余弦函数值的程序。当通项绝对值小于10-5时停止计算。

广告合作:400-664-0084 全国热线:400-664-0084
Copyright 2010 - 2017 www.my8848.com 珠峰网 粤ICP备15066211号
珠峰网 版权所有 All Rights Reserved