学历培训
外语培训
计算机
IT认证
职业资格
财会金融
职业技能
中小学
考研硕士
企业培训
出国留学
脑力开发
综合资讯
公务员
建筑
学历教育
医药
外贸
超级分类
电子商务
会议
总裁世界
最新开课
最新机构
最新资讯
课程资料
课程专题
网站地图
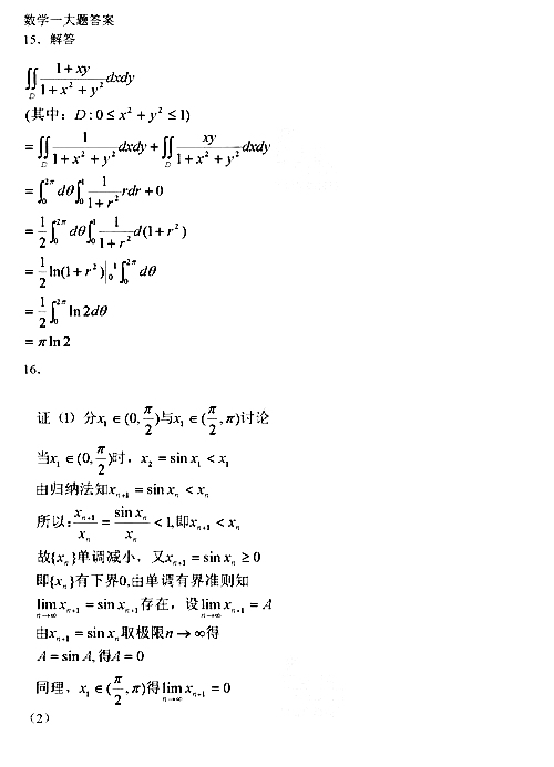
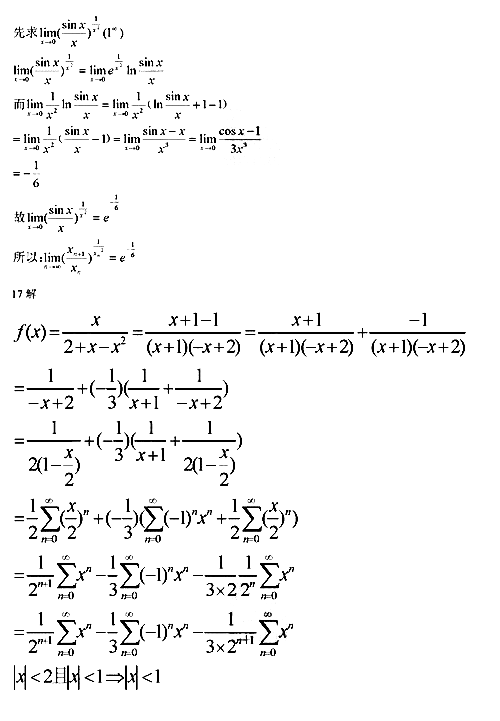
数学一答案(部分)
最新课程